■ Noté x, l'avancement est une grandeur qui mesure le déroulement d'une transformation
chimique. Il s'exprime comme une quantité de matière. Il correspond, à un stade donné de la
transformation, à la quantité de matière qui a été consommée pour un réactif dont le nombre
stoechiométrique vaut 1.
■ Noté xmax, l'avancement maximal désigne la plus grande valeur
qu'il aurait été possible d'envisager pour l'avancement si la transformation devait totalement
consommer le réactif limitant.
Il arrive, selon le cas, que l'avancement final xf ne parvienne pas à atteindre cette valeur extrême,
parce que la transformation n'est pas totale. Cela peut s'expliquer par le déroulement d'une
autre transformation, en parallèle de celle étudiée, et qui s'opère dans le sens inverse, c'est
-à-dire au cours de laquelle les produits formés réagissent ensemble pour reformer les réactifs.
Facteurs cinétiques
Ici encore, l'adjectif "cinétique" sera employé pour désigner tout ce qui concerne la vitesse.
Ce paragraphe cherche donc à dresser les différents paramètres du système qui pourraient faire
en sorte que la transformation se déroule plus vite ou moins vite.
Naturellement, certaines transformations chimiques sont rapides, au sens que l'oeil humain ne
détecte pas ses différentes étapes intermédiaires : sitôt commencée, elle semble déjà finie,
presque instantanée. C'est le cas de la formation de certains précipités en tube à essai, par
exemple. D'autres transformations en revanche sont plus lentes, comme la formation de la rouille
qui peut durer des semaines voire des mois.
Quels sont les paramètres qui influencent la cinétique d'une transformation ? Dans le cas d'une
transformation qui engage des espèces à l'état solide ou en solution (pas de gaz), on identifie :
la température : plus elle est grande, plus la transformation est rapide ;
la concentration des solutés réactifs : plus elle est grande, plus la transformation est rapide ;
la présence dans le système de certains agents chimiques, appelés catalyseurs, qui augmentent la vitesse de la réaction.
Un catalyseur est une espèce chimique qui accélère la transformation, sans en changer l'état final,
donc sans être lui-même consommé. Il agit temporairement auprès des réactifs avant d'être finalement
restitué dans le système.
On parle de catalyse homogène si le catalyseur se trouve dans la même phase que le système ; de
catalyse hétérogène si le catalyseur occupe une autre phase (un solide dans une solution, par exemple) et
enfin de catalyse enzymatique si le catalyseur est une enzyme, c'est-à-dire une protéine provenant
du monde du vivant, engagée dans les transformations métaboliques, comme par exemple la lactase (métabolisme
du lait) ou l'amylase (métabolisme de l'amidon).
Vitesses volumiques
La vitesse volumique calcule la quantité de matière consommée ou
produite, par unité de temps et de volume du système.
Sont alors définies
`v_{app}`, la vitesse volumique d'apparition d'un produit ;
`v_{dis}`, la vitesse volumique de disparition d'un réactif.
Elles s'expriment toutes deux bien souvent en mol/L/s.
En raison des différentes stoechiométries, il est possible qu'en un même intervalle
de temps, deux produits n'aient pas été formés en quantités égales. Il faudra donc
préciser de quel produit il est question dans l'étude de la vitesse volumique.
Enfin, il est possible que la valeur de la vitesse volumique ne soit pas la même en
chaque instant de l'expérience : par exemple 7 mmol/L/s durant la première seconde puis
5 mmol/L/s durant la seconde d'après, si la transformation a ralenti. Il faudra donc
indiquer que la valeur de la vitesse volumique dépend du temps.
Ainsi, pour un système obéissant à l'équation de réaction suivante :
`a\ A(aq) + b\ B(aq) \to c\ C(aq)`
nous définissons la vitesse volumique d'apparition du produit C par l'égalité suivante :
`v_{app,C}(t)=1/V\cdot {dn_C(t)}/{dt}`
La notation `{dn_C(t)}/{dt}` utilise l'opérateur différentiel `d` qui représente
une variation infinitésimale (inifiniment petite). Le quotient calcule donc
l'infinitésimale variation de la quantité de matière de C au cours d'une durée
inifinitésimale : c'est la toute petite quantité de matière supplémentaire de C
produite par la transformation au cours d'une toute petite durée.
Exemple et étude de l'évolution de la concentration
Considérons un système chimique dont le volume, constant, vaut 3 L, lieu d'une transformation
chimique qui produit l'espèce chimique C. À l'instant t = 47 s,
C est présent dans le système en quantité égale à 18 mmol.
La transformation se poursuit : à t = 50 s, la quantité de C vaut désormais
24 mmol.
La quantité de C a augmenté de 6 mmol en 3 s donc
`v_{app,C}(t=47\ s)`
`=1/{3\ L}\times {6\ mmol}/{3\ s}`
`=0,67\ mmol//L//s`.
Raisonnons désormais en termes d'évolution de la valeur de la concentration [C] :
Initialement,
`[C](t)`
`={18\ mmol}/{3\ L}`
`=6\ mmol//L`
Un peu plus tard,
`[C](t+3\ s)`
`={24\ mmol}/{3\ L}`
`=8\ mmol//L`
Ainsi, la concentration a varié de 2 mmol/L en 3 s, la vitesse volumique d'apparition de C
vaut encore `{2\ mmol//L}/{3\ s}=0,67\ mmol//L//s`.
Nous pouvons généraliser le raisonnement, en intégrant le facteur `1/V` dans la dérivée et :
`v_{app,C}(t)`
`=1/V\cdot {dn_C(t)}/{dt}`
`={d[C](t)}/{dt}`
Détermination graphique de la vitesse volumique en un instant donné
La valeur de la vitesse volumique peut être déterminée graphiquement.
Sur la courbe représentative de la concentration en C au cours du temps,
il faut tracer, à l'instant souhaité, la tangente à la courbe en ce point.
La valeur de la vitesse volumique est alors donnée par le calcul du coefficient
directeur (la pente) de cette tangente.
Ainsi, `v` se mesure comme un nombre dérivé.
Illustration de la méthode graphique
Cas de la disparition des réactifs
Puisqu'un réactif est consommé, sa quantité de matière diminue au cours du temps. La variation
infinitésimale de sa quantité de matière est donc de signe négatif. Pour conserver une vitesse
de disparition de signe positif, il faut opposer la variation et nous définissons :
`v_{dis,A}(t)`
`=-1/V\cdot {dn_A(t)}/{dt}`
`=-{d[A](t)}/{dt}`
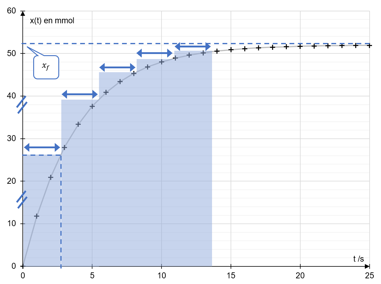
Temps de demi-réaction
Pour quantifier si une transformation est lente ou rapide, le temps de demi-réaction
fournit un bon indicateur. Noté `t_{1//2}`, c'est la durée nécessaire pour que
l'avancement de la transformation ait atteint la moitié de sa valeur finale.
`t=t_{1//2} iff x(t)=x_f/2`
⚠ Il ne s'agit pas de la moitié de la durée totale de la transformation.
C'est en revanche également la durée nécessaire pour qu'un stock de réactif soit réduit de moitié.
Mesure graphique du temps de demi-réaction
Du fait des facteurs cinétiques énoncés ci-dessus, nous pouvons déduire que :
`t_{1//2}` est plus petit si la température du système est plus grande ;
`t_{1//2}` est plus petit si la concentration des réactifs est plus grande ;
`t_{1//2}` est plus petit si un catalyseur est présent.
Loi de vitesse d'ordre 1
Certaines transformations chimiques obéissent à une certaine cinétique : celle pour laquelle
la vitesse volumique de disparition d'un réactif est proportionnelle à sa concentration.
Cette situation se traduit par l'égalité suivante :
`v_{dis,A}(t)=k\cdot [A](t)`
C'est la cinétique d'ordre 1.
Dans cette égalité, `k` est une grandeur réelle, homogène à l'inverse d'un temps, bien souvent
exprimé en s-1.
Étude qualitative
Imaginons un système chimique, siège d'une transformation d'ordre 1 par rapport au
réactif A. Initialement, la concentration [A] est importante. En proportion, la
vitesse de disparition de A est grande aussi. Dans un petit intervalle de temps,
une quantité importante de réactif A sera consommée par la transformation.
Ainsi, quelques instants plus tard, la concentration [A] sera devenue plus faible.
En proportion, la vitesse de disparition de A aura elle aussi un peu diminué. Dans
un petit intervalle de temps, une quantité de réactif A aura été consommée, un peu
moins toutefois que dans l'instant précédent.
Ainsi, quelques instant plus tard, la concentration [A] aura de nouveau diminué. En
proportion, la vitesse de disparition de A aura, elle aussi, encore un peu diminué.
Dans un petit intervalle de temps, c'est une quantité de réactf A encore plus petite
qui aura été consommée.
Etc.
Illustration graphique du raisonnement en proportions
La situation rencontrée est celle où la variation d'une grandeur est proportionnelle
à sa valeur. Elle est décrite par une équation différentielle d'ordre 1 et
sa solution est de forme exponentielle.
Étude quantitative
À l'aide de la définition de la vitesse volumique de disparition d'un réactif,
nous pouvons écrire que la relation de proportionnalité précédente est équivalente à :
`v_{dis,A}(t)=k\cdot [A](t)`
`iff -{d[A](t)}/{dt}=k\cdot [A](t)`
Regroupons tous les termes dans le même membre :
`{d[A](t)}/{dt}+k\cdot [A](t)=0`
Il s'agit d'une équation différentielle linéaire homogène à coefficients constants et d'ordre 1.
linéaire signifie que si `f` et `g` sont deux solutions de l'équation,
`f+g` l'est aussi
homogène signifie que le second membre est nul
à coefficients constants signifie ici que `k` est une constante
d'ordre 1 signifie que la dérivée la plus haute dans l'équation est d'ordre 1.
Une telle équation admet mathématiquement une solution de la forme
`[A](t)=[A]_0\cdot exp(-k\cdot t)`
où `[A]_0=[A](t=0)`, valeur initiale
On montre également que
`k\cdot t_"1/2"=ln(2)`
Fin d'une transformation chimique
Mathématiquement, une telle solution ne s'annule jamais. Cela revienrait à
considérer chimiquement que le réactif limitant n'est jamais totalement
consommé. Le modèle se confronte avec la réalité physique.
On considère ordinairement que la transformation a atteint son état final
s'il s'est écoulé une durée `t_f ge 5\times t_{1//2}`. L'avancement final aura
alors atteint environ 97 % de sa valeur asymptotique `x_f`.
Après 5 temps de demi-réaction, l'avancement final est atteint à 97 %