L'état de mouvement d'un système est caractérisé par son vecteur vitesse : le système est immobile s'il s'agit du vecteur
nul ; sinon le système est en mouvement selon la direction, le sens et la norme du vecteur vitesse.
La force est le modèle par lequel est décrite l'ation d'un système sur un autre. Une force est elle aussi
représentée à l'aide d'un vecteur. Sa norme se mesure en newton (N). Parmi les forces les plus fréquentes figurent le poids,
la force gravitationnelle, la réaction d'un support et la tension d'un fil (câble, corde, etc.).
L'inertie c'est quoi ?
Les précédents chapitres de mécanique nous ont permis de décrire les mouvements observés autour de nous et
d'expliquer comment un objet pouvait agir sur un autre. Ces actions sont modélisées par des forces. Mais l'inertie, c'est
quoi ?
L'inertie désigne le fait qu'un système ne peut pas, de lui-même, changer son état de mouvement ou de repos.
Imaginons une voiture garée sur un parking : cette voiture ne peut pas d'elle-même, se mettre à avancer.
Figurons-nous cette fois un galet lancée sur un lac gelé : ce galet ne pourra pas, de lui-même, choisir de tourner
à gauche ou à droite, ni d'accélérer ou ralentir.
Vidéo Euréka sur l'inertie. Portez un regard critique sur cette ressource : elle explique plutôt bien ce qu'est l'inertie,
mais ne croyez pas pour autant que les "choses" ou les "objets" VEULENT bouger ou non !
L'inertie d'un système, c'est-à-dire sa tendance à persévérer dans son état de mouvement, est liée à la masse du système. Plus
la masse est grande, plus l'inertie du système sera grande également. Ainsi, une même force, par exemple celle fournie par
les bras d'un homme, peut suffire à mettre en mouvement une voiture en panne mais ne pourra pas mettre en mouvement un camion.
Énoncé du principe d'inertie
Le principe d'inertie permet d'indiquer en quoi une force, qui modélise l'action exercée sur un système, va influencer
son état de mouvement. Les forces sont les grandeurs capables de faire varier la vitesse ou la direction d'un système.
Sans force appliquée sur un système, pas de variation de la direction et pas de variation de la valeur de la vitesse.
D'une manière plus rigoureuse, voici l'énoncé du principe d'inertie :
Il existe une classe de référentiels, appelés référentiels galiléens tels que : Un système est animé d'un mouvement rectiligne et uniforme ou est immobile si et seulement s'il est soumis à des
forces qui se compensent ou à aucune.
Des forces qui se compensent, ça veut dire quoi ?
Photographie d'une partie de tir à la corde
Vous connaissez ce jeu : le tir à la corde. Deux équipes tiennent une corde par chaque extrémité et un drapeau est noué
au centre de la corde. L'équipe qui tire la corde et place le drapeau dans son camp a gagné.
Si une équipe exerce une force plus importante que l'autre, la force globale subie par la corde conduira le
drapeau vers cette équipe. Mais si les deux équipes exercent des forces de même norme, l'effet d'une force
qui tire le drapeau vers la gauche est compensé par l'effet de l'autre force qui le tire vers la droite et le
drapeau reste immobile.
Il se passe la même chose pour un livre posé sur une table : son poids l'attire vers le sol mais la table réagit vers le haut :
les deux forces se compensent et le livre reste immobile.
Et le raisonnement dans l'autre sens ?
Au même titre que les équivalences mathématiques, le principe d'inertie peut se lire dans le sens direct
et dans le sens indirect, les contraposées sont également vraies :
Sens direct : si un système est soumis à des forces qui se compensent ou à aucune, alors il est immobile ou animé d'un
mouvement rectiligne uniforme, c'est-à-dire que son vecteur-vitesse est constant (en direction, en sens et en norme).
Contraposée du sens direct : si un système n'a pas un vecteur-vitesse constant, alors il n'est pas soumis à des forces qui se compensent ou à aucune.
Sens indirect : si un système a un vecteur-vitesse constant, alors il est soumis à des forces qui se compensent ou à aucune.
Contraposée du sens indirect : si un système est soumis à des forces qui ne se compensent pas, son vecteur-vitesse n'est pas constant.
Cette deuxième lecture nous amène au questionnement suivant : quel lien y a-t-il entre le vecteur-vitesse qui change
et la force à laquelle le système est soumis ?
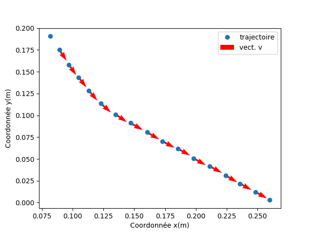
Représentation de la trajectoire et du vecteur-vitesse d'un objet qui chute
Lorsqu'un objet chute, il est soumis à son poids, vertical et vers le bas. D'après la figure, on observe que le
vecteur-vitesse du système est de plus en plus "tiré verticalement vers le bas". Autrement dit, le vecteur-vitesse
d'un système varie dans la direction et dans le sens de la force à laquelle le système est soumis.
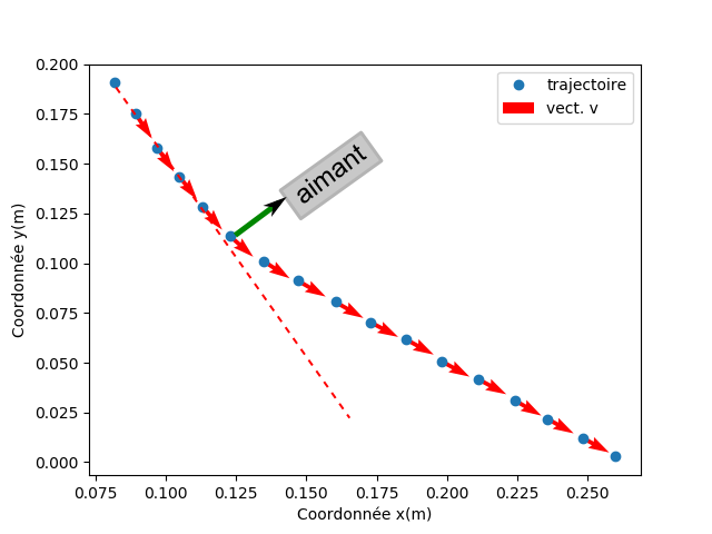
Étudions le mouvement d'une bille lancée sur une table horizontale à proximité d'un aimant :
Trajectoire et vecteur-vitesse de la billeForce (en vert) d'attraction de l'aimant sur la bille et déviation de la trajectoire
Ces deux figures montrent bien que le vecteur-vitesse de la bille a changé dans la direction et dans le sens de la force
exercée par l'aimant sur la bille.
En conclusion : si un système ne subit aucune force, il ne dévie pas et ne change pas de vitesse. Sinon, son vecteur-vitesse
varie dans la direction et dans le sens de la force à laquelle il est soumis.